第三章 建设工程设计阶段的投资控制
【基本结构】
第一节 资金时间价值
第二节 方案经济评价的主要方法
第三节 设计方案评选
第四节 价值工程
第五节 设计概算的编制与审查
第六节 施工图预算的编制与审查
【大纲要求】
1.资金时间价值的计算;
2.方案经济评价的主要指标;
3.方案经济评价主要指标的计算;
4.设计方案评选的内容;
5.设计方案评选的方法;
6.价值工程方法;
7.价值工程的应用;
8.设计概算的编制与审查;
9.施工图预算的编制与审查。
【基本知识点】
1、资金时间价值(现金流量图;单利复利计算;实际利率名义利率计算;6个时间价值公式的应用)(重点);
2、方案经济评价指标的分类、计算(重点)、特点、评价标准;
3、设计方案评选的内容、方法;
4、价值工程原理、应用程序(重点);
5、设计概算的编制内容、依据、方法及审查内容;
6、施工图预算编制依据、内容、方法(重点)及审查内容与方法。
【主要内容】
第一节 资金时间价值
一、现金流量
现金流入量、现金流出量、净现金流量统称为现金流量。
现金流量图三要素:大小(资金数额)、方向(资金流入或流出)和作用点(资金流入或流出的时间点)。

2.现金流量表中,与时间t对应的现金流量表示现金流量发生在当期期末。

二、资金时间价值的计算
(一)资金时间价值的概念
对于资金提供者而言,资金时间价值是暂时放弃资金使用权而获得的补偿;
对于资金使用者而言,资金时间价值是使用资金应付出的代价;
如果资金使用者使用自有资金,资金时间价值是该项资金的机会成本。
(二)资金时间价值计算的种类
影响资金等值的因素有三个:资金的多少、资金发生的时间、利率(或收益率、折现率,以下简称利率)的大小。
(三)利息和利率
利息的计算分为单利法和复利法两种方式。
1.单利法
I=P×n×i(3-2)
式中n——计息期数。
n个计息周期后的本利和为:
F=P+I=P(1+i×n)(3—3)
式中F——本利和。
2.复利法
F=P(1+i)n(3-4)
J=P[(1+i)n-1](3-5)
例题:某公司存入银行10万元,年利率为2.79%,共存五年,按单利计息,问存款到期后的利息和本利和各为多少?按复利计息,问存款到期后的利息和本利和各为多少?
【解】已知P=10万元,i=2.79%,n=5
单利计算:I=P×n×i=10×5×2.79%=1.395(万元)
F=P+i=10+1.395=11.395(万元)
复利计算:F=P(1+i)n=10×(1+2.79%)5=11.475(万元)
I=F-P=11.475=10=1.475(万元)
(四)实际利率和名义利率
如,年利率为3%,每月计息一次,此年利率就是名义利率,它相当于月利率为2.5‰。又如季利率为1%,则名义利率就为4%(4×1%=4%)。
设名义利率为r,在一年中计算利息m次,则每期的利率为r/m,假定年初借款P,则一年后的复本利和为:
F=P(1+r/m)m
(3-6)
当名义利率为r时,实际利率可由下式求得:
![]()
【例3-3】某公司存入银行10万元,年利率为2.79%,共存5年,按复利每半年计息一次,问存款到期后的利息和复本利和各为多少?
【解】已知P=10万元,r=2.79%,m=2,n=5
按年实际利率计算,则:
I=(1+r/m)m-1=(1+2.79%/2)2-1=2.81%
F=P(1+i)n=10×(1+2.81%)5=11.486(万元)
若按周期实际利率计算,则:
F=P(1+r/2)n×m=10×(1+2.79%/2)10=11.486(万元)
利息I=F-P=11.486-10=1.486(万元)。
(五)复利法资金时间价值计算的基本公式

例题1:某公司计划二年以后购买一台100万元的机械设备,拟从银行存款中提取,银行存款年利率为2.25%,问现应存入银行的资金为多少?
【解】已知F=100万元,n=2,i=2.25%
P=F(1+i)-n=100×(1+2.25%)-2=95.648(万元)
例题2:如果从1月份开始,每月月末存入银行200元,月利率为1.43‰,问年底累积的储蓄额(复本利和)为多少?
【解】已知A=200元,i=1.43‰,n=12
![]()
例题3:某公司在第5年末应偿还一笔50万元的债务,按年利率2.79%计算,该公司从现在起连续5年每年年末应向银行存人资金为多少,才能使其复本利和正好偿清这笔债务?
【解】已知F=50万元,i=2.79%,n=5
![]()
例题4:如果以年利率10%投资某项目100万元,拟在今后5年中把复本利和在每年年末按相等的数额提取,每年可回收的资金为多少?
【解】已知P=100万元,i=10%,n=5
![]()
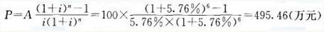
例题5:某公司拟投资建设一工业项目,希望建成后在6年内收回全部贷款的复本利和,预计项目每年能获利100万元,银行贷款的年利率为5.76%,问该项目的总投资应控制在多少范围以内?
【解】已知A=100万元,i=5.76%,n=6
![]()
习题:
对于下面的现金流量图而言,其终值为( )元,i=10%。

A.1697.4
B.1897.4
C.3086.2
D.3394.87
答案:D
解题要点:根据题意,第1至第6年的等额年金(第7年空缺,需继续折算一年),并利用等额资金
终值公式有:
![]()
2.某项贷款按季计息,且季度利率为1%。则其年实际利率为( )。
A.1%
B.4%
C.4.64%
D.16.99%
答案:C
解题要点:(1+1%)4-1
3.某人以8%单利借出15000元,借款期为3年;收回后以7%复利将上述借出资金的本利和再借出,借款期为10年。此人在第13年年末可以获得的复本利和是( )万元。
A.3.3568
B.3.4209
C.3.5687
D.3.6586
答案:D
解题要点:=15000×(1+3×8%)×(1+7%)10=3.6589
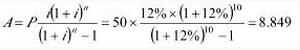
4.某企业用50万元购置一台设备,欲在10年内将该投资的复本利和全部回收,基准收益率为12%,则每年均等的净收益至少应为( )万元。
A.7.893
B.8.849
C.9.056
D.9.654
答案:B
答案要点: